Chapter 2 Outline

2.1 Position, Velocity, & Speed (2.1 & 2.2 for 121)

2.2 Instantaneous Velocity & Speed (2.3 for 121)

2.3 Acceleration

2.4 Motion Diagrams

2.5 1-D Motion w/Constant Accel

2.6 Freely Falling Objects

2.7 Kinematic Eq derived from Calculus

Position, Velocity, & Speed

Displacement – Distance from a given point, including direction from given point.

http://www.cpp.edu/~skboddeker/132/notes/chapter26/thumbs/01104.jpg

+5 meters in the x-direction

+6 meters in the y-direction

-4 meters in the z-direction

The resultant 3D displacement

Note…this is not the typical 3D axial orientation, but a z-x-y orientation.  The z-x-y orientation is easier for students unfamiliar with 3D coordinates.

When you get to Linear Algebra or Multivariable calculus you’ll see the typical x-y-z orientation.

 

 

What’s the difference between speed and velocity?

 

What if you told me you drove for 1 hour from exit to exit on I-10, without delays, and ended up 65 miles from your starting point.

Could I guess how fast you were driving?

 

Obviously…you covered 65 miles in one hour…thus your speed was 65 mph.

Speed is a scalar (just magnitude) quantity.

 

Could I know where you ended up?

 

NO WAY…I don’t have any direction.

Velocity is speed WITH direction.

Velocity is a vector quantity.

Instantaneous Velocity & Speed  and   Acceleration

A speedometer supposedly gives instantaneous speed.

Thus if you are starting from a stop, you notice the speedometer go faster and faster until you approach your desired maximum speed. 

 

http://www.cpp.edu/~skboddeker/132/notes/chapter26/thumbs/02115.jpg

Let’s assume you had a constant acceleration during this time; untitled where acceleration is velocity versus time (a = Δv / Δt) and is a straight line. 

Thus our position vs time graph looks like this untitled,

where vave = Δx / Δt

 

Let’s assume our final speed after acceleration is about 65 mph.

So right after we started from rest, we know we are much less than 65 mph, probably less than 5 mph.

 

Near our maximum velocity a considerable time later, we should be close to 65 mph.

 

If you notice in both above sketches, the straight line touches the curve at a small area (theoretically at one point).  We now need to define a slope.

 

The slope is Δy / Δx, or in our case Δx / Δt, since displacement is on the y axis and time on the x axis. 

 

In the calculus based class, we say the slope is the derivative of a point, (slope = dy / dx). 

 

In the non-calculus based classes…we say the slope is the slope over a very small range about the point of interest

(in the first example, the point of interest was the slope at a very small time and

in the second example a large amount of time when we’ve almost achieved 65 mph.)

 

Demo: Dune Buggy 1-D:  ME-C-DB

 

2.4 Motion Diagrams

A.    Positive Velocity - your position progressed with time

 

untitled

B.    Negative Velocity – your position regresses with time

untitled2

C.    Zero Velocity – your position remains constant with time

untitled3

D.    Positive Acceleration - your velocity increases with time

untitled

E.    Negative Acceleration – your velocity decreases with time

untitled

F.    Zero Acceleration – your velocity remains constant with time

untitled

G.    Positive Acceleration – your position progress as a square

untitled

This data represents which sketch?

Please review this section several more times before your midterm and final exam.

 

You can complete the negative acceleration and zero acceleration where position is plotted version time.

x(t)

(meters)

time

(seconds)

1

1

4

2

9

3

16

4

  http://www.cpp.edu/~skboddeker/132/notes/chapter26/thumbs/03126.jpg                 http://www.cpp.edu/~skboddeker/132/notes/chapter26/thumbs/04137.jpg                    http://www.cpp.edu/~skboddeker/132/notes/chapter26/thumbs/05148.jpg

2.5 1-D Motion w/Constant Accel

Demo: String and Weights Drop:  ME-C-SW

 

a = dv / dt;

we are assuming constant acceleration.   “During class we derive the equation when we assume Jerk is constant and                                                                                                acceleration is varying”

The 1st lecture introduced the kinematics equations derived from calculus.

Integrated a = dv / dt twice.

x(t) = ½at² + vot + xo

Example 1

A car is driving in some odd traffic with the equation over a limited amount of time where

it position is give by the following equation:

 

x(t) = ½t2 + 3t + 5

 

What is the position of the car after 5 seconds?
x = ½52 + 3*5 + 5

x = 32.5 meters

 

Note:  Through out the rest of this course we ALWAYS assume acceleration is constant unless otherwise indicated.

What is the velocity after 5 seconds?
We will fall back upon the definition of instantaneous velocity
v = dx / dt

v = ½ 2t + 3

v = 8 m/s

What is the acceleration after 5 seconds?
Once again we will use the definition of acceleration
a =    d2x / dt2
a =     dv  / dt

a = d(3 + t)       / dt
a = 1 m/s2

No calculus method

How far has the car traveled after

5 seconds?
x = ½  a   t²      + vo t            + xo

x = ½ (1) 52       + 3*5    + 5

x = 32.5 meters

From the above comparison we know

a  = 1 m/s2;   vo = 3 m/s;   xo = 5 m

What is the velocity after 5 seconds?
Using the definition:

a = Δv / Δt
a = (vf - vi) / t
1 = (vf - 3) / 5
vf = 8 m/s


What is the acceleration after 5 seconds
Well...it never changes...it's 1 m/s²

 

Example 2: Bumper Cars

Red and blue bumper cars are heading toward each other.

The blue one is traveling toward the red one at a constant velocity of 3.0 m/s. 

The red car is initially at rest and accelerates at a rate of 1.0 m/s2 toward the blue car as the blue car is 10 meters away.

a) When do the bumper cars meet?
b) Where do the bumper cars meet?
c) What is the velocity of the red car at this time?

 

        untitled

(a)  As the two bumper cars meet, they’ll be at the same position

x      = ½at²      + vot + xo
xred   = ½1t2       +   0 + 0

xred   = ½t2

xblue  = 0   +  -3t        + 10
xblue  = -3t + 10

 

        xred           =     xblue
        ½ t2          = -3t   + 10
               
t       = 2.4 sec

(b)

dred  = ½ 1 (2.39)2
dred  = 2.84 m

 

dblue = - 3*2.39   + 10
dblue = 2.84 m

(c)    a = Δv / Δt
        a = (vf - vi) / t
        1 = (vf - 0) / 2.4
        vf = 2.4 m/s

Assumptions & Declarations

1. We will define the zero point of the system at the red bumper car.
2. Thus the blue bumper car has an initial position of 10 m.
3. We will define increase from the zero position as positive, thus the red car will have a positive velocity and acceleration.
4. The blue car is traveling toward the zero position, thus the velocity will be negative.

 

Example 3: Motorcycle Ramp

What length of road is required for a motorcycle to achieve 80 m/s (at the base of a ramp) to jump a row of cars if its acceleration is 4 m/s2?

 

a = (vf - vi) / t
4 = (80 - 0) / t
t = 20 sec

x = xo       + vo t        + ½  a   t2
x = 0        +  0          + ½  4  202    

x = 800 m

 

Example 4: Motorcycle Cop

You are driving your car at its maximum speed of 134 mph (or about 60 m/s).  As you are driving you pass a motorcycle police officer and it take the officer 2 seconds to hop on his bike to start chasing you.  The motorcycle has a maximum velocity of 223 mph (or about 100 m/s).  The max rate of acceleration of the motorcycle is about 20 m/s2.  What distance does your car travel before being caught by the officer?

 

You get a 2 second head start on the bike.

xyou = ½at2   + vot          + xo   

xyou = 0       + 60 (t+2)   + 0

xyou = 60t +120

 

xcop = ½at2        + vot           + xo   

xcop = ½20t2      + 0     + 0

xcop = 10 t2

 

When the bikes position equals your position then the bike has caught you.

 

xyou           = xcop

60t +120  = 10t2

t2 – 6t              = 12

t2 – 6t + 32       = 12 + 32

(t – 3)2             = 21

t = 7.58 seconds (can’t be negative)

But WAIT a second…this can’t be correct.  The bike hits maximum velocity at 5 seconds.

        a      = Dv / t

        20    = (100 – 0)* t

        t       = 5 sec

 

Start OVER !!!

 

Think About It

For xcop why is the time, (t – 5), associated with the constant velocity?

Assume total time is 9 seconds…if the initial 5 seconds represents the acceleration, how much time is left for the bike to drive at top speed?

          Obvious…4 seconds.

Time remaining for constant velocity is represented by (t – 5)

Time remaining = 9 – 5 = 4 sec.

You get a 2 second head start on the bike.

xyou = ½at2 + vot        + xo   

xyou = 0     + 60 (t+2) + 0

xyou = 60t +120

 

 

 

xcop = ½ a   t2    +   vo  t     + xo   

xcop = ½20 52    +100(t-5)  + 0

xcop = 100t - 250

 

 

xyou         =      xcop

60t +120 = 100t –250

t = 9.25 sec

 

        Test using both equations

 

xyou = 60 (t+2)

xyou = 675 m

xbike = ½20*52 + vf(t-5)

xbike = 675 m

 

 

Example 5: Arrow Impacting Tree

An arrow is shot in a tree.  The arrow penetrates 10 cm into the tree.  The rate of acceleration is -40,000 m/s2.  How fast was the arrow traveling before hitting tree?

 

 (Remember…the negative sign just states it is slowing down)

x      = ½     a           t2

0.1 m        = ½ 40,000 t2  

t = 0.00224 sec

 

a        = Δv           /     Δt

-40,000 = (0 – vi) / 0.00224 s

vi = 90 m/s

which is approximately 200 mph

(Rigorous Method)
a = Δv / Δt

 

Δv = vf – vi       à vf = 0 m/s

-vi = a*t

-vi = -40000t

 

0 = ½-40000t2 + vo         * t              + 0.1   

0 = ½-40000t2 + -40000t  * t          + 0.1 

0 = -20000t2    – 40000t2                 + 0.1

20000t2 = 0.1

                t = 0.00224 sec

(Same for rest of problem)

 

As you can see the BELOW calculus method brings you to the Rigorous (Formal) method

 

a = dv / dt

-40,000 dt = dv

-40,000 ò dt = ò dv

v = -40,000 t + vo

v = dx / dt

(-40,000t + vo)dt = dx

-40,000 ò tdt + voòdt = ò dx

x = -20,000 t2 + vot + xo  

 

 

Example:

Dropping a rock down a well?

After a very dry spell, you decide to measure the depth of your well.  Normally the water level is 12 meters below the surface of the well.  You also know the well was initially dug to 45 meters, so you have an ample supply of well water during dry climate.  The only instrument you have is your watch with a timer on it. How can you determine the depth of the well?

Ans:  (assume “g” = 10 m/s2)

You decide to put you newly acquired kinematics skills to work.

You carefully time a dropped rock down your well and measure an echo 3 seconds later
d = ½ a t²
d = ½ 10 3²
d = 45 m

 

You run to your roomate (also in your physics class) and say...we're almost out of water!!!

"How do you know?" your friend asks.

You explain what you did.

Your friends responds, "Woah, we really have a little more water left than you calculated, let me show you."

You've neglected the amount time for sound to travel back to the top of the well, where vsound = 300 m/s

We've forgot to mention...you live in North Dakota and it's January!!!

At STP, vsound = 343 m/s

 

Think About It

We know that ttotal is comprised of both trock and tsound such that

ttotal          = trock   + tsound

3 sec        = trock   + tsound

 

Solve for tsound in terms of trock

 

tsound = 3 - trock

vy = Δy / Δt;  where Δy = d

 

dsound = vsound * tsound

dsound = vsound * tsound
dsound = vsound * (3 - trock)

 

drock  = ½ atrock²

But both distances are equal; so

 

dsound                                    =   drock
vsound (3-trock)    = ½ atrock2

v(3) – v(trock)     =  ½a trock²
900 - 300t       = 5 t²
t² + 60t  = 180
(t + 30)² = 180 + 30²
t               = -30 ± + 32.86
trock = 2.8634

tsound = 3 - 2.8634

tsound = 0.1365 seconds

 

Test  à

dsound = vsound * tsound
dsound = 300 * 0.1365
dsound = 41 m

drock    = ½ atrock²
drock    = ½ 10 * 2.8634²
drock    = 41 m

 

2.6 Freely Falling Objects

 

http://www.cpp.edu/~skboddeker/132/notes/chapter26/thumbs/06159.jpg  

 

As soon as an object leaves a persons hand, exits the barrel of the cannon, engines shut off, etc the object ONLY has one force acting on it which is gravity.  This is called free fall. 

 

The acceleration due to gravity is 9.81 m/s2.

Many times “g” is estimated to 9.8 m/s2 or even 10 m/s2.

Example 1: Dropped Watermelon meets Cannon Ball

Both the watermelon and the cannon ball are released/fired at the same time.

The watermelon is dropped from a building of height, H.

The cannon is at the bottom of the building.

 

The cannon impacts with the watermelon at 0.6 H (from the ground).

a) How much time has elapsed since the two objects were released?

b) What is the initial velocity of the cannonball?

 

This problem will be solved using two methods.

Point of View perspective and the Rigorous Method

untitled

 

Point of View Perspective

 

The cannon ball travels a total distance of 3H/5 where the watermelon travels the remaining distance (2H/5), where the total distance is H.

 

In Point of View method,  velocity is increasing as it goes down, thus a positive 10 m/s2 acceleration.

Watermelon
Δy    = ½  ay t2   + vot         + yo

2H/5        = ½(10)t2   +  0          + 0
t       = √(2H/25)

 

Cannon Ball
Δy    = ½   ay t2  + vot + yo

3H/5        = ½(-10)t2 + vot + 0
        where t = √(2H/25)

3H/5        = ½(-10)2H/25  + vo √(2H/25)

H = vo √(2H) / 5
vo = √(25H/2)

Rigorous Method

Here we define the bottom is 0 meters and the top is H.

In the Rigorous Method acceleration due to gravity is ALWAYS negative.

The watermelon will fall to the position 3H/5 and the cannon ball will rise to 3H/5. Thus the equations will be

Watermelon
Δy    = ½  ay   t2 + vot + yo
3H/5        = ½(-10) t2        +  0  + H    

t       = ( 2h / 25 )½
Note: this is the same conclusion as the Point of View Perspective

Cannon Ball
Δy     = ½ayt2            + vot + yo

3H/5 = ½(-10) t2       + vo t        + 0

        where t = √(2H/25)
3H/5 = ½(-10)(2H/25)      + vo ( 2H / 25 )½ + 0
3H/5 = -2H/5           + vo ( 2H / 25 )½
H = vo ( 2H )½ / 5
vo = (25H/2)½

 

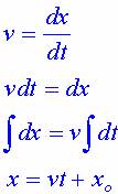
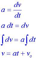
2.7 Kinematic Eq derived from Calculus

 

If you want to find the maximum position of the position equation…how do you do it?

Rules from Calculus

Take the derivative of your given equation and set it equal to zero.

Solve for time, and this is the time that you have your maximum position.

x(t)  = 5t2 - 20t  +   16

0 = 10t – 20

t = 2 sec

x(2) = 5t2 - 20t  +   16

x(2) = -20 meters

 

 

From INTRO notes

 

v = dx / dt


   eq 1

 

a = Δv / Δt

and instantaneous acceleration is

 рঃшঃx  eq 2

 

 

Once more:

Integrate with respect to time

 

dx /dt = at + vo

 

ò dx = a ò tdt   +  vo ò dt

 

x = ½ at2 + vot + xo     eq 3

 

 

I prefer you ONLY using the following three formulas for ALL kinematics problems

 

 

1)  

 

2)  

 

3)   x = ½ at2 + vot + xo